index Numerics 4 6
MarsHubble.gif, 9 kB 5 Five


Chemistry: Penta- 5: (Prime):
( BballAll.gif, 5 kB 5)

See all Primes  

BballGrn.gif, 0 kB 5 represents Devotion and man's will.
BballGrn.gif, 0 kB 5 represents human endeavor or man power.
BballGrn.gif, 0 kB 5 represents Mars and War.
BballGrn.gif, 0 kB 5 represents Individualistic.
BballGrn.gif, 0 kB 5 represents Control.
BballGrn.gif, 0 kB 5 represents Incongruent, Odd.
RulerBarBlu.gif, 4 kB

Asteral:

Terrestrial_planets_comparisons.jpg, 7 kB
Mars is number Five in the solar system.
5 represents Day of Jupitor(6), fifth day of the week, thursday.

Romans gave the planets their own gods' names:
2-Mercurius (for Hermes),
3-Venus (Aphrodite),
5-Mars (Ares),
6-Juppiter (Zeus)
7-Saturnus (Cronus)
Greek Ares
Roman Mars(5th)

RulerBarBlu.gif, 4 kB

5Flag.gif, 1 kB The 5th fold of the flag represents devotion and a tribute to the country.


Five:
Power to man, Dominion
Given to man
Grace to man
Covenant (5)
Mans Seizure or possession
His (a preposition)
The most cars have room for 5 people.
RulerBarBlu.gif, 4 kB
A "nickel" weighs 5.000 grams in Ni.
(Every type of worm has 5 hearts to pump blood through it's long body.)
(5 is unique in that it is the first and only prime with 5 as the last digit.)
5 is the smallest hypotenuse of a Pythagorean triangle (3^2 + 4^2 = 5^2).

Romans gave the planets their own gods' names:
Mercurius (for Hermes), Venus (Aphrodite), Mars (Ares), Juppiter (Zeus) and Saturnus (Cronus)
RulerBarBlu.gif, 4 kB
In Hebrew, the number 5 means "seizure, contraction like the five fingers".

The 5 Olympic rings. (overlap to create 3^2 = 9 separate areas.)

An ace is a military aircraft pilot who has destroyed 5 or more enemy aircraft.

One of the best-known perfumes, Chanel N°5, was introduced by Gabrielle "Coco" Chanel on May(5) 5, 1921.

Star Fish and Man have 5 points or legs.

Most humans have 5 fingers in the hands and feet.

Symbol of the will.

Symbol of the perfection in the Mayas.
Symbol of the incarnated conscience (4, Matter, + 1, Spirit).

Symbolize the force and the limits of the man in his control on the Universe.

Numerical value of the Hebrew letter He (the Not-Me) representing the passive principle by excellence. This letter represents, according to Charrot, "a solar ray pouring on the earth its beneficial rain of life" and it symbolizes the universal life, the breath of the man, the air, the spirit, the soul, all what is stimulating and vivifying. For the cabalist Eleazar of Worm, the letter "He" symbolizes "the breath" .

The five pebbles which made it possible to small king David to kill the giant Goliath.
(1Samuel 17:40) Five smooth stones were chosen by David when he went to meet the giant enemy of Israel. It is worthy of note that after all he used only the one, and not any of the four.

(Leviticus 26:8) "Five of you shall chase a thousand, and a hundred of you shall put ten thousand to flight"

(1Corinthians 14:19) "I had rather speak five words with the understanding, than ten thousand words in an unknown tongue"

The Tabernacle has this number (five) stamped upon it:
The outer court was 100 cubits long and 50 cubits wide.
On either side were 20 pillars, and along each end were 10 pillars, or 60 in all;
that is 5 x 12, 12 being the number of the Tribes.
The pillars that held up the curtains were 5 cubits apart and 5 cubits high,
and the whole of the outer curtain was divided into squares of 25 cubits (5x5).
Each pair of pillars thus supported an area of 52 cubits of fine white linen,
5 x 5 was also the measure of the brazen altar of burnt offering.

Phrases Which Occur Five Times
"Bless the Lord, O my soul."All in Psalms 103 and 104, viz., 103:1, 2, 23 and 104:1, 35.

(Matthew 13:12, 25:29; Mark 4:25; Luke 8:18, 19:26) "Whosoever hath, to him shall be given" (2Matthew; Mark; 2Luke - Five times)

The five wounds of Jesus on the cross.
(2 Co 11,24) Saint Paul declares that by five times he received the 39 lashes from the Jews.

(Mt 25,1) The five mad and wise virgins of the parable of Jesus.

(Jn 5,2) The five porticos of the pool of Bethesda.

(Gn 12, 5-18)
The five kinds of animals that God asked Abraham to present to him to conclude with him an alliance:
a heifer of three years old,
a goat of three years old,
a ram of three years old,
a turtledove
and a young dove.


In Hebrew, the number 5 means "seizure, contraction like the five fingers".

RulerBarBlu.gif, 4 kB

Composites:



(Jn 8:44) Lie (276*5)
(Mt 26:24) Man (276*5)
(Rom 1:23) Corruptible (276*5)
(Rom 1:23) Incorruptible (276*5)
Therfore I will shake the heavens, (122*5) and the earth shall remove out of her place, in the wrath of the Lord of hosts
And the third angel trumpeted and there fell out of heaven a great burning star (122*5) as a lamp,

(John 8:44) When he speaketh a lie, he speaks of his own things(180*5): for he is a liar, and the father of it".

(Lk 2:34) "And Simeon blessed them, and said unto Mary his mother, Behold, this child is set for the fall and rising again (111x35) of many in Israel."
RulerBarBlu.gif, 4 kB



RulerBarBlu.gif, 4 kB Old Testament:
Cardinals:164 Ordinals:50
New Testament:
Cardinals:035 Ordinals:04
Total:253


RulerBarBlu.gif, 4 kB Dodecahedral Cage
RNA Viruses
BuckyBall Cage
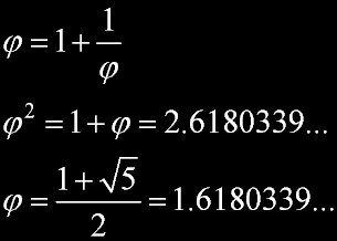
Dodecahedron.jpg, 22kB Golden Ratio 5Golden.gif, 3.6kB

RulerBarBlu.gif, 4 kB
RULERBOW