MASTER INDEX WORK INVIRNMENT AND DEVELOPMENT ELECTRONICS
LogoCoil3.gif, 3 kB Magnets,
Magnetic Geometry
MagDiskLogo.gif, 8 kB



WIRE.jpg, 14 kB MoveCharge.GIF, 27 kB
EqBIOTgreen.gif, 2 kB EqBofBiotSavart.gif, 2 kB
BBALLBLU.GIF, 0 kB Biot Savart
B field near a conductor
Wire in yellow

On the wire, Max magnetic field is always continuously orthagonal, sin(90degrees), directly in the plane of indicated B field lines.


Deriviation amperes law for integration of a straight long wire on another page.


RULERYEL.GIF, 4 kB
Coil0.gif, 12 kB
LOOP1.gif, 24 kB
EqBIOTgreen.gif, 2 kB
EqBofBiotSavart.gif, 2 kB
EqBsingleloop.gif, 3 kB
EqBcenter.gif, 2 kB
BBALLGRN.GIF, 0 kB Single loop
Here are eight charges circulating in a single loop.

Current in Green
Magnetic field lines in blue.






One current loop
At the Center of loop
In the plane of the loop
No distance from loop



EqBcenterOneBlu.gif, 2 kB
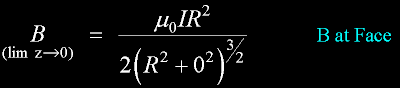
B Flush with face
B of a single loop
B at center of loop, (on Z axis)

EqBHoersted.gif, 2 kB
Here is the same point in Oersteds



Coil0.gif, 12 kB
WHEEL8c.gif, 64 kB
EqBWheel.gif, 1 kB
EqBcenterOneBlu.gif, 2 kB
A computer can iterate discrete charges revolving in a loop...
Eight infinitesimal current charges,
(Either BBALLGRN.GIF, 0 kB eight charges with velocity, or BBALLGRN.GIF, 0 kB eight currents: dq/sec)




Now look at the same circle face-on.
I told my computer to draw this out...
Revolving in a circle opposite to above, CCW.
Either way identical magnetic B field is produced from each defined element.
All fields are vectorially added.
Bluish colors indicate magnetic field lines are facing toward observer: out of page.

I told my computer to draw this, according to one simple rule. In a matrix I established 8 objects with 8 absolute positions and each with a velocity vector. The speed in each dimension delta x, and delta y, was calculated by hand before being placed in the matrix for that particular particle. For a circle it was easy to do this before hand, and made a faster iteration time. Maximum field is orthoganal to direction of motion, and uses the inverse square law.
The computer is handy; doing one simple rule, many times, to many points.

On the other hand, I have shown that integral analytical field strength due to mathematics can be convienetly applied at the center.

One can observe linearity increasing in the center. But it is NOT linear! With a long solenoid, and or, high permeability core, linearity can be approached. In fact, when a testing facility places a metal piece in a current loop to be tested for fatigue cracks, the item is placed inside the loop NEAREST an inside current wall.

There are forces that push apart the whole apparatus. It is the field lines that are pushing - not "particles" or "things". Particles, including those with mass, have no way to interact. Only fields can interact at a distance.
(Your instructor may have problems in matters of physics, and, in addition, may be violently intolerant of blasphemy. So beware.)
There is only one equation at work here. It is in terms of either current, or charge with velocity.


RULERYEL.GIF, 4 kB
EqBIOTgreen.gif, 2 kB
EqRING1.gif, 3 kB
EqRING2.gif, 2 kB
EqRingL.gif, 2 kB
EqRingdR.gif, 2 kB
EqRING5.gif, 2 kB
EqBcurrentLoop.gif, 3 kB
BBALLGRN.GIF, 0 kB Single loop
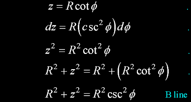
Variable distance z...
B on Z axis

Create an axis through center of loop.
Distance z on axis away from center of loop.


EqBCurrentLim.gif, 3 kB
EqBcenter.gif, 2 kB
As a quick check on what we have already derived:
Take z back to the face...

Units are SI. So if one amp is in a 1 meter radius loop. B=.5mT
Here is some trivia that is not so intuitive...
The radius more less drops out if you have a high permittivity core. One loop, with in a high permittivity core, with one amp is aprox .6mT, regardless of radius.



RULERYEL.GIF, 4 kB BBALLBLU.GIF, 0 kB Multiple Loops

Coil2.gif, 44 kB EqBofCoilInfinite.gif, 2 kB
BBALLBLU.GIF, 0 kB Solenoid or BBALLBLU.GIF, 0 kB Inductor or BBALLBLU.GIF, 0 kB Permanent Magnet or BBALLBLU.GIF, 0 kB Coil.

N is the number of turns of wire.
n is the number of turns of wire per unit length.
L is the length of the coil.


COIL3.GIF, 28 kB
To diminish the complicated mathematics, consider a magnet as many current loops. Mathematically, there is no difference in operation between a permanent magnet and a coil. What will be important are only the two face poles.


COIL1.gif, 69 kB Pick an on axis point inside or outside the coil.
EqBsingle.gif, 3 kB
From above, start with a single loop...
Why re-invent the loop, or wheel, for that matter?
DiagramLoops.gif, 24 kB
EqSolenoid1.gif, 3 kB
EqSolenoid2.gif, 7 kB
EqSolenoid3.gif, 3 kB
EqSolenoid4.gif, 3 kB
EqSolenoid5.gif, 2 kB
EqSolenoid6.gif, 2 kB
EqSolenoid7.gif, 2 kB
EqSolenoid8.gif, 3 kB
I have already worked this out on a piece of paper ahead of time, so I know it works. So, sit back and follow me along...









I am going to switch over to polar coordinates because, at the end, the trig is easier to integrate...


And substitute into the original equation...

Loops2a.gif, 11 kB EqCOSINES.gif, 3 kB
BBALLBLU.GIF, 0 kB After integration, only two current loops emerge.
How convenient!

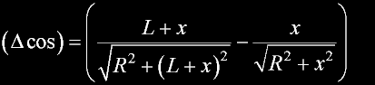
The distance separating the faces is L Length.
A point P along axis of two common poles.

Two angles:
The first angle (alpha) is defined from the back (farthest) face-pole. Its distance from on axis center is L plus z. The closest angle (beta) is z distance out away from the coil.

What an analytical reduction in concept: two coils.
How convenient!
EqBofCoil.gif, 2 kB
EqBdesign0.gif, 3 kB
B along axis of two poles.
BANAST15.gif, 1 kB The "Delta-Cosines" can be expressed in rectangular or angular forms...


L is the length of the magnet, or internal separation distance of the poles.
z is the distance from the closest pole.


EqBendSolenoid.gif, 2 kB
EqBcentSolenoid.gif, 2 kB
EqBr.gif, 2 kB
EqBdesignBr.gif, 3 kB
EqBdesignBrC.gif, 2 kB
By letting z equal zero, you can see the B value at either end pole or Face.

Br
The B value smoothly grows as we approach the center of the solenoid.
The B value refers to the inside magnetic field, in the middle of a solenoid (half way of the length), and on the axial center. The derivative shows a maximum in strength at this point: Exactly twice the value of either face.
In permanent magnets or coils with iron this is also known as Br.


If we equate the coefeciant to Br, We can condense the equation even further.
Here is the equation in terms of Br.



EqOersteds.gif, 3 kB
Magnetic field strength
H is an Electrical driving magnetic force: NA/m By loosing the R, we have Amps/(meter coil length), a convienent magnetizing field measure. Exactly equivalent concept is Oesteds.
1 A/m = 0.012566 Oe
The resulting magnetic field may be the same measure if the medium permeability is one. Gauss=Oesteds
Or if not: Gauss=Ur*Oesteds
Gauss =10mT


And if we let R=zero, we have Br.
Br is an established reference magnetic field: the maximum possible. Although physically impossible to to measure inside most permanent magnets and coils. If it were possible to measure, then it would be in a magnetically closed loop. The B"r" can stand for "Residual" magnetic density - as for permanent magnets - or "Reference" for coils.

This is convenient too. It is not often that an equation is so modularized with simple parts.
EqEdgePoleB.gif, 2 kB
BWebersmeter.gif, 1 kB
EqBofFAROUTSIDE.gif, 2 kB
Taylor expansion of edge-current-model.
Far outside B
Much outside the coil the B falls off as the cube of the distance.


EqBdistanceBlu.gif, 3 kB


EqBdistComputer.gif, 4 kB
Here is what the equation looks like in my computer. Mathematicians like single letter variables. But in my computer I have to create arbitrary multiple character names. As you can see, it is not as elegant. There are only so many letters in the English and Greek alphabet, and with many variables to denote, this form has its place.


EqBdistSubscripts.gif, 4 kB
Subscripts also work...
It is withen the mathematical tradition, but does not lend itself to computer programming. Computers are the only way that I deal with numbers because they never make a mistake. I like to input numbers only one time. I turn them over.
I personally can not deal with numbers themselves. I can not add them, I can not multiply them. That function belongs to my computer and calculator, and to me they are invisable. To this day I have never memorized my addition table. I was in high school when the principle, who once was my teacher in grade school, discovered that I still could not add or subtract. He was emphatic and upset, but also felt sorry for me. To this day I can not work arithmetic. I guess that I need to thank somebody for sliderules, calculators, and computers. No! I do not need to thank anybody... Arithmetic is not important. I do not know why they even teach it in grade school. It is a wast of time. It is just laborious work that serves no purpose. Talk about having a kid pissed off at school!

Instead, we should pursue what we love, and not dwell upon mistakes that others have made.



RULERBOW




RULERMAR.GIF, 1 kB RulerBarBlu.gif, 4 kB under construction...


TORQUERED.gif, 4 kB EqMagMomentRed.gif, 1 kB EqMomentMag.gif, 1 kB EqTorqueB.gif, 1 kB EqTorqueSIN.gif, 1 kB
BBALLRED.GIF, 0 kB Moment
q or m is dipole moment: amperes*m2
The torque that we are concerned with is orthogonal to the loop. sin90=1.
EqMomentpir2.gif, 2 kB
for example:
Magnetic moment of a single loop...
(atomic orbitals)
EqMomentQm.gif, 2 kB EqHandle.gif, 2 kB Moment.gif, 5 kB EqHandleGrn.gif, 2 kB
BBALLGRN.GIF, 0 kB The creation of the qm Handle

Here is the simplified monopole face...
An equivalent form of magnetic field.



Now multiple magnetic fields can be combined in space using established techniques of electrostatic or gravitational monopoles using matrix algebra.

EqBMagMonopole.gif, 2 kB EqForceMAG.gif, 2 kB
Applications...
The door is opened for gymnastics of magnetic fields B.
Also, the door is opened for force, which I will get to in just a minute.


EqFIELDptDipole.gif, 2 kB

RULERYEL.GIF, 4 kB
EqForceDef.gif, 1 kB
And here is the force...
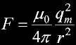
pole strength q

An old Definition:
A Unit Magnet Pole is one which acts with a force of one dyne upon an equal pole placed at a distance of one centimeter.


This section (force) is under construction...
I am still trying to work it out.

EqForcePoundsGauss.gif, 3 kB
And here is the force in Pounds...
For example at 35000 gauss, the force on the cross section face of a coil would be 700lb/sq inch.
EqForceIRONcore.gif, 1 kB
EqDeltaCos.gif, 3 kB
EqForcedelta.gif, 2 kB
EqForceTwoMag.gif, 2 kB EqMagMass.gif, 1 kB
EqBclosed.gif, 1 kB
EqForceR2.gif, 1 kB
For electromagnets (or permanent magnets) with well defined 'poles' where the field lines emerge from the core, the force between two electromagnets can be found using the 'Gilbert model' which assumes the magnetic field is produced by fictitious 'magnetic charges' on the surface of the poles, with pole strength m and units of Ampere-turn meter.
under construction... RulerBarBlu.gif, 4 kB
RULERBOW