Here is one of the places that I keep my data. You can browse in here if you like.
The purpose is to make sure that the equations that have been derived in concept are correct in measurement.
AlNiCo magnets.
probably 4%Cu, 10%Co, 10%Al, 18%Ni, 55%Fe
|
Magnets were taken out of an old computer hard drive. The drive was a (big at the time) 10MB.
The intire drive weighed about 50 lbs.
Large magnets have an advantage; With these large magnets, properties should be easy to measure.
MAGNETS:
Magnet dimensions:
10.21cm pole to pole length L, or internal Z
10.20cm face width
(a nearly square magnet)
3.05cm to 2.65cm face height (thickness)
Face area is 2.958E-3 square meters
Each magnet weights 22N=4.95LB
Density is 7.3g/cm3 consistent with either cast Alnico-8 or cast Alnico-5.
(It is too heavy for sintered Alnico at 7.0g/cm3)
Residual Flux Density for Alnico-5 is Br = 1280mT and for Alnico-8 Br=820mT
I will introduce each method before I graph them all...
Pull test
Pull Force
Two AlNiCo magnets. Both on wooden dowels.
|
Measurements are mixed including Horizontal pulls, inclined pulls, and vertical pulls.
And found to make no difference except for convenience.
Wooden dowels placed under magnets to reduce friction.
Horizontal drag coefficient of static friction is .101 Newton
Face area is 2.958E-3 square meters
4.95LB=22N Weight
30 Index cards is 6mm thickness.
Direct contact can not accuratly measured: a force value is extrapolated from a small positive gap.
Breakaway force is the average (a face does not have homogeneous forces) force for intire face.
examples for attraction pulls...
Separation Breakaway
distance Force
millimeter Newton
6.0mm 37.5N (30 index Cards)
4.0mm 44.5N (20 index Cards)
3.0mm 47.0N (15 index Cards)
2.0mm 50.0N (10 index Cards)
1.8mm 56.0N
1.4mm 58 N
1.36mm 52 N
1.36mm 53.8N
430 mm 0.024N
Probe:
The probe is a coil.
Method of operation
The probe coil apparatus is placed between magnets, or in front of a single magnet.
The apparatus is spun in the field producing a voltage.
CONSTRUCTION:
Ruled out exactly three meters of wire
Wound it on 1/4 inch straw. 99.5 turns.
Punched holes in 4 pieces of cardboard for bearings.
Mounted cardboard in play clay.
Yes, grownup's can play with clay too; It says so - right on the box!
0.8cm diameter average.
1/4in=6.35mm
Attached variable speed drill to shaft.
Observe voltage and speed on scope.
It is essential that both variables be captured simultaneously.
Separation distance voltage speed Teslas
cm (sep-6.35)/2 mV rev/sec mT
1.43 3.98 75 10.1 165.0
1.90 6.33 105 18.2 128.0
2.22 7.93 75 16.7 99.8
3.18 12.73 65 16.7 86.4
4.45 19.07 50 16.6 66.9
Above is for two magnets...
And I don't know if I will use this data...
Magnetic field probe.
Hall Effect sensor can be purchased from DigiKey.
It is a A1301 Hall Effect analog sensor, package SIP-3, part number:620-1020-ND, $2.52.
A1301 Probe is 2.5 mV/G or 25mV/mT with center at 2.480V
A1302 Probe is 1.3 mV/G or 13mV/mT
Probe:
Hall Effect A1301 is placed on far end of stick.
A 5v regulator, diode bridge, and cap power the sensor from near end of stick.
All electronics are incapsulated in HotGlue.
Top picture before mounting in HotGlue. Smother all exposed surfaces so as to prevent
electrical contact.
An axial power plug is at near end so that any voltage - AC, DC, or portable battery pack - can be plugged in.
You can use any multimeter to read the probe with its 2.5 mV/G.
A1301 Probe is 2.5 mV/G or 25mV/mT with center at 2.480V
Remove hot glue strings - just in case, and before - others may see your work.
One magnet...
Magnet-A
80 mm to center of coil.
0.02v/cm
Vpeak is 2.5cm * .02v = 50mV
Horiz is 10mS/cm
20.4 rev/sec
|
One magnet, spaced different distances from center of the dyno coil.
A picture was taken to freeze every waveform, so as to conveniently measure voltage and frequency.
As you can see the coil is not turning true. It has vibration and wobble,
resulting in difficulties in an estimate of the voltage.
A .1 uF bipolar cap is attached across coil to smooth out high frequency hash.
Voltage discontinuities are seen from the use of allegator clips
loosely attached to the ends of wire.
Second probe is Hall Effect:
probe is 2.5 mV/G or 25mV/mT with center at 2.480V
There are two probes used on this run...
The Coil, and the Hall.
Middle three columns are for the coil probe, and the
last two are for the hall effect probe.
coil coil coil probe probe
Separation voltage speed Teslas mV Teslas
mm mV rev/sec mT 2480 mT
02.5 4070 63.6
02.5 3990 60.4
04.0 3880 56.0
05 3820 53.6
08 50 20.4 54.48
10 3520 41.60
12 40 21.0 42.34
15 36 18.2 43.97 3340 34.40
17.5 36 20.8 38.47
20 32 19.3 36.86
20 34 21.7 34.83 3204 28.96
22 28 20.4 30.51
25 26 18.5 31.23 3080 24.00
27.5 21 20.0 23.34
30 21 22.0 21.22 2980 18.80
35 2911 17.24
40 14 20.8 14.96 2850 14.80
45 2801 12.84
50 11 20.0 12.23 2754 10.96
60 9.0 20.2 9.90 2694 08.56
60 9.0 20.0 10.00
60 9.0 21.3 9.39
70 7.0 20.4 7.63 2644 06.56
70 7.0 20.0 7.78
80 2612 05.28
90 4.0 20.0 4.45 2588 04.32
100 2567 03.48
110 2552 02.88
120 2.5 20.5 2.71 2541 02.44
130 2531 02.04
140 1.2 20.0 1.33 2525 01.76
140 2.0 20.0 2.22
150 2519 01.56
160 2513 01.32
170 2509 01.16
180 2506 01.04
190 2503 00.92
200 2500 00.80
210 2498 00.72
220 2497 00.68
300 2488 00.32
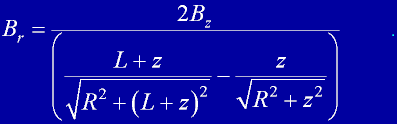
The equation used to calculate B for the coil. The calculation is close enough to the hall probe
to validate equation.
|
From the equation, it makes no difference in the shape of the loop.
I used 300cm of linear wire. Then, hand wrapped the wire around common 1/4 inch drinking straw.
Mathematically, the wire is applied as 100 circular circumferences:
That is 3cm circumference per loop average.
That is .00716 m2 area for 100 loops.
A = .00716 square meters in the formula...
Probe:
Yet another probe. This probe is a compass.
And it will work for measuring small values of B.
A compass is placed at one end of a long board.
The board is manuevered so that East-West is parallel to the board.
Earths magnetic field at Chico is 51.5 uT, .0515mT, .515gauss.
This is the root mean square of both horizontal and declination: the needle automatically adjusts for max.
51.5uT can be used as a reference when a compass is used.
Magnet pole is positioned orthoganal to needle at various distances.
The compass needle is deflected by a normal component represented by the magnet.
The separation distance is the distance from one pole of the permanent magnet
to the center of the compass. Care is taken to keep the face of the magnet pointed directly
at the compass. Also care is taken to maintain the placement of the magnet, as a whole,
on a line
that is perpendicular
to the compasses north-south line, which is the center of the board.
Separation Compass B mag field
cm Degrees uT
202 cm 4.0 3.60
175.0cm 5.0 4.50
152 cm 8.0 7.24
139.2cm 11.4 10.38
128.5cm 14.0 12.84
114.0cm 19 17.73
102.3cm 25 24.01
93.0cm 31 30.94
81.7cm 42.0 46.4
74.0cm 48 57.19
66.2cm 58 82.42
61.5cm 60 89.20
56.2cm 68 127.5
51.0cm 72 158.5
42 cm 78 242.3
32.5cm 82 366.4
22.4cm 85 588
Now to graph all this...
Equivalent R
First, let me explain where I got R (a radius) from a rectangle...
for a rectangular magnet...
This is not written in any physics books (that I can find),
But it works!
A is the area of either a circle or a rectangle.
L is the length
W is the width
R is the radius
First graph is the theoretical graph. It is in purple.
B varies with distant from a face. B is measured using all of the above devices.
All measurements give a value of Br: approximately 140mT.
Br is .14T or 140mT
Br is not accessable in the center of the magnet equidistant from the two faces, and is twice the B value
at either face. Br and B are on the Z axis. Maximum face value of B is approximately 70mT.
PUR is Theoretical curve.
RED is the Hall Effect Prob at location 1
GRN is the Hall Effect Prob at location 2
WHT is the coil probe using two magnets (B is devided by two.)
CYN is the coil probe using one magnet.
BLU is the compass.
To get every thing in, I used a log x-scale.
Here, I magnified the y axis to see the compass...
You can also see the first two readings from the probe in red. They are in excellent agreement with the compass.
Now I want to look at the pull-force data for the large magnets.
I had roller dowels under the movable magnet. Too much friction! Those were removed and now the movable magnet is suspended.
This is about as frictionless as it gets. The box is taken outside to an area of level cement. The area was scanned
previously with a metal detector, and all metal was located. The magnet easily becomes a compass with a prefered orientation.
But that is ok - as the 0.56 gauss (here in Chico) only helps keep the magnet aligned in its cradle.
Vertical lift:
Feeble field strengths, a few hundredths of a gauss, are measure with long pendulum lengths. A mm of horizontal movement
translates into a mm of vertical movement sense the sine and tangent are the same at small angles.
That movement is multiplied times the equivalent force-weight of the magnet: 22Newtons.
It is the same as having the magnet on an incline.
For very strong fields another - more direct - method is used: A strain gauge.
(Blue and white ones are shown in the picture.)
This is better than measuring the lift on the pendulum.
This equation gives the Average BA (torque) necessary for force.
The value of B for pull magnets (two magnets) will be twice the value for single magnet.
Also the average B - for the intire face - will be more than a single B-center value.
With these criteria:
Face area A is 2.958E-3 square meters.
Data for the pull forces...
Attractive force in dark grey
Repulsive force in light grey
I can only interpret the diverging plots to the fields lines being effected by the
huge magnets. Small sensors can get in without disrupting the field lines,
and a true measure of B achieved.
In attraction the big magnets gather and concentrate field lines giving a higher value of B
than expected.
In repulsion, the magnets repel and diffuse field lines giving a lower value than expected.
These are rare-earth magnets.
I wish to investigate the length of a magnet. I will do it by stacking more and more magnets.
Here the radius is 7.25cm / 19 = .38158cm.
And the thickness of ONE (which will be L Length) is 3cm / 10 = .3cm for each magnet.
Measured B Calculated Br
Prob probe Stacked Length Br
Separation Teslas Number mm
mm mT of neos mT
Group-1
03.8mm 69.2mT 1 3mm 832mT
03.8mm 92.8mT 2 6mm 824mT
03.8mm 95.0mT 3 9mm 755mT
03.8mm 95.1mT 4 12mm 717mT
Group-2
07.6mm 23.5mT 1 3mm 1001mT
07.6mm 33.9mT 2 6mm 987mT
07.6mm 41.5mT 3 9mm 1032mT
07.6mm 48.1mT 4 12mm 1102mT
07.6mm 50.7mT 5 15mm 1105mT
07.6mm 54.7mT 6 18mm 1154mT
07.6mm 55.1mT 7 21mm 1137mT
07.6mm 55.5mT 8 24mm 1127mT
07.6mm 56.3mT 9 27mm 1130mT
07.6mm 56.7mT 10 30mm 1128mT
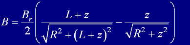
L is the Magnet length. In my computer programs I call it "MagZ"
z is a varible: the distance out front of the magnet face.
R is the radius of the magnet face.
If you do not have an R but rather a rectangle, I have found an "equivalent-R".
In my computer programs I call the rectangle face MagX by MagY. So that the
R is equal to square root MagX times MagY devided by Pi. It works great if you stay
on the z axis.
Rather disappointing on the consistency of Br...
It averages about 1000mT but it is all over the place.
The cards which are used for separation compress a lot.
Just a fraction of an oz pressure on the cards can almost double the reading.
So I need ground ceramic spacers! Not really, hard plastic would work.
Something harder than fluffy cardboard.
The making of a magnet
