MASTER INDEX WORK INVIRNMENT AND DEVELOPMENT ELECTRONICS
operations of KLYSTRONS





KLYSTRONLOGO.GIF, 4 kB
KLY123.JPG, 45 kB
Picture: a K3672 KLYSTRON,
klystron holder and support structures made by Townsend.

top of picture:
#3 Cavity (idler cavity)is intact
#3 Mag coil
#2 Cavity (half removed)
#2 Mag coil and drift tube with cooling fins
#1 Cavity (both halfs removed) (input cavity)
Gun assembly and it's magnet coil
bottom of picture
Unlike triodes and pentodes, where the electron current is INTENSITY modulated, the Klystron's electron beam current is VELOCITY or PHASE modulated.

The are all kinds of klystrons. Broadcast klystrons are about 6 ft long, and mounted in a support structure.


top of picture:

Top "rectangular-box"
#3 Cavity (idler cavity)is intact
(It has a "3" and a black coax coming out.)

#3 Mag coil

#2 Cavity (half removed)
The back half is still supported. When both halves are together, the box is hollow with the klystron running through the center. Silver finger stock touches above and below the white ceramic. This is where (inside the cavity) the electron beam is bunched (modulated).

#2 Mag coil and drift tube with cooling fins
The mag coils are unable to operate on the beam continuously. They are strategically placed where they can squeeze the beam periodically. If the mag current is adjusted too much the beam will be squeezed too much, and actually diverge before it reaches the next magnet.

#1 Cavity (both halfs removed) (input cavity)

Gun assembly and it's magnet coil

bottom of picture


RULERYEL.GIF, 4 kB
BBALLBLU GUN and ANODE

The electron gun consists of a heater, or filament and a cathode, (an optional control grid), and an anode.
(In the picture, the filament is below the bottom platform.)
Electrons are heated by the heater and emitted by the cathode, and are then drawn toward the anode at very high velocity. The structure of the cathode is a concave shape, which aids in the focusing of the electron beam. The electrons are formed into a narrow beam by either electrostatic or magnetic focusing techniques.
After the initial filament break-in period, do NOT operate klystron at rated filament voltage! An added benefit - beyond the obvious - is that the input cavity will not have so much metal deposited on it's ceramic. All cavities depend on clean ceramics. If not, in the cavity gaps, RF field will be dampened with increased loading. This results in broad and "dull" tuning of the first cavity.

The proper procedure to reduce filament current; is to slowly reduce, in tiny increments, while watching sync-stretch. Drop until a favorable compromise is made in sync-stretch. Go back up, if you see any drop in RF, or BEAM Current, or especially small variations in BODY CURRENT. Don't go down more than about a volt, or which of the above comes first. After a few years of age, filament will have to be continually raised to compensate for inevitable emission loss. Kiss of death... The end is near.

BIAS
METERBIASV.GIF, 20 kB As far as I know, the grid, which normally only produces a bias voltage, is never used for modulation. The bias is normally about -9kv; and sets the quiescent Beam Current.

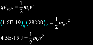
If you would like to know the velocity of the electrons, I think I can figure it:
(I would kind of like to know the beam spreading force due to mutual electron repulsion. And the speed and density will have to be calculated...)

Consider a beam of 5A (set by the grid), and 1/4 inch beam diameter (from personal observation of beam damage).
First we must know the electron velocity:
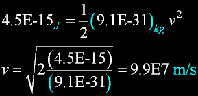
We know the ENERGY of each electron:
EqEnergyMV2.gif, 2 kB
Kinetic energy of an electron.
EqEnergyField.gif, 2 kB
Electrical field that accelerates the electron. We know the ENERGY of each electron by what what produces it: the anode VOLTAGE.
(In fact, the equation is by definition when we speak of electron volts.)
EQEV.GIF, 2 kB

EqEnergyEquiv1.gif, 4 kB
Equating the two equations...
EqVelocitye.gif, 4 kB
Rearranging for velocity:
One third the speed of light is fast.

Perhaps we better reconsider relativistic effects...
SCALLMASSE.gif, 32 kB EQEVEL28A.GIF, 4 kB


Any way, to get the density...
We have an electron beam:
We have a long skinny beam in the form of a cylinder 1/4in in diameter by 5 ft long.
With 5 Coulombs/s traveling 8.8e7 m/s inside.

(If the cylinder was 8.8e7 m long it would hold 5 coulombs of electrons.)
So it is a simple matter to take a porportionly smaller length:
EQ5Q.GIF, 3 kB
Each electron has a charge of 1.6E-19 qoulombs...
EQNELECT.GIF, 3 kB
So the density of the electron beam is...
EQDENSITY.GIF, 4 kB
I have no way to know if this density is correct or not. So do not treat it as gospel. This is the way it looks to me.
The electrons are bunched into a beam by the time they reach the anode of the gun, and travel through a hole in that anode.
The electrons have just started their journey and are still at the bottom (or top, if the klystron is mounted upside down) of the klystron. In any case, the electrons have traveled only a few inches. By this time, the electrons have reached their full velocity, and are ready for their long trip down the klystron.

An air blower keeps the gun assembly cool. The air blower also keeps the drift tubes cool, and also cools the cavities. One air blower services all the drift tubes, and cavities. The air supply is interlocked with air vane switches: It must on - or else the transmitter will protect itself, by shutting-down.



RULERYEL.GIF, 4 kB BBALLBLU DRIVER CAVITY

First cavity is the "driver", or input-cavity.
Driver cavity takes about 1 watt of (modulated) exciter RF. Never operate klystron without excitation! If tuning of the first cavity becomes broad, it is probably due to filament too high, for a long period, with resulting ceramic contamination.




RULERYEL.GIF, 4 kB
CAVITY.JPG, 22 kB
Half of a Cavity section
Tuning knobs connect to the other side

BBALLBLU INTERMEDIATE (IDLE) CAVITIES
Cavities connect to the tube through finger-stock. Inside the vacuum of the tube, grid-type structures connect to the tube ring. Resonant RF is shaped by phase modulation of the beam on the inside of the tube - from the external cavity. (Any physical grid structure would be a physical obstruction, and will destabilize the beam, and burn up, in the intense BEAM of electrons).

The two halves of each cavity clamp around the white ceramic areas. The two halves clamp to the tube through finger stock unto the tube (at the shiny rings). If the cavities ever get too hot, the finger stock can loose its spring force; Power will drop, and power will be erratic. The two halves must be very tight. A good control system such as mine, monitors drift tube temperature. It is not enough to monitor water temperature. Otherwise everything may look fine: power good and no observable overheating. Without a good control system you may be loosing finger-stock tension!


"Arc-Alarms" will accur if the two tuning positions are not matched closely; Symmetry is lost. If not matched, the beam can distort, with parts of the beam hitting the side. You will have to manually match the static-tuning (not movable) with the knob tuning, if you do not have the double-ganged tuning option. Not all klystrons have it.




RULERYEL.GIF, 4 kB BBALLBLU COIL
The coils produce an axial, or longitudinal, magnetic field (a magnetic field parallel to the axis of the klystron beam). (in the range of 1.1-1.8 kGauss)


RULERYEL.GIF, 4 kB
KLYINSIDETUBE.JPG, 18 kB
inside top section

inside of the klystron is the top metal drift tube.
BBALLBLU DRIFT TUBE
If the beam diffuses, or diverges, the electrons will strike the drift tubes. One reason is the mutual repulsion between electrons, which is perpendicular to the axis of the tube. The electrons that strike the drift tubes are metered as "Body Current". It is about 45mA. The drift tubes are insulated from the collector, at about 50volts below ground, which makes metering possible. The last drift tube, which is located next to the collector, has an inside diameter which is smaller than that of the other drift tubes.

I have looked at the beam width from damage. (In fact, the picture is from a broken klystron.)
The beam punches a very small hole, therefor the beam appears to be about a 1/4 of an inch in diameter, from what I can see.
The current is 5AMPS. That is 5Q/sec. The beam will spread if it were not for the magnets.
RULERYEL.GIF, 4 kB BBALLBLU OUTPUT CAVITY
Never tune the last cavity dead-on (exactly) to carrier. Tune this top (penultimate-cavity) six or seven MHz above carrier, while the klystron is "down" (no beam voltage), then bring up beam. And then tune slowly, slightly down, in frequency. Do not tune to carrier as you will change a perfectly good klystron briefly into a perfectly bad reflex klystron (which is not what you want: it can oscillate). No caution here may destroy the klystron, and not be worth the time saved in tuning.
The output RF is taken out of the cavity with a rectangular open loop. Keep the loop direction in a Over-Coupled position.

RULERYEL.GIF, 4 kB BBALLBLU COLLECTOR

The spent electron beam collides with the collector. No RF energy is given to the collector. Only a lot of heat; and I mean a lot of heat. Klystrons are only 30 to 50 percent efficient.

Xrays are here. Klystrons should have a lead shield around the collector as protection against Xrays. Cavities should probable be shielded too.



RULERMAR.GIF, 1 kB
HGRNDEATH.gif, 94 kB Health concerns HEALTHNOMED.gif, 27 kB

RULERYEL.GIF, 4 kB BBALLBLU Hard Radiation
LABLEXRAY.JPG, 4 kB Hard Radiation

RULERYEL.GIF, 4 kB BBALLBLU LABLEPOISON.JPG, 3 kB Beryllium oxide (BeO)
Beryllium oxide (BeO)
RULERYEL.GIF, 4 kB BBALLBLU LABLERADIO.JPG, 3 kB Soft Radiation
Soft Radiation

RULERYEL.GIF, 4 kB
MEKLYSTRON.JPG, 22 kB
Me, beside a broadcast klystron (type K3672).

K3672 KLYSTRON

This klystron is only about 6 ft tall.

But when I was in the Air Force, my friend managed a klystron much taller than this one. It was pulsed, and it seems to me - it was a Megawatt. (I managed the computer that fed it.)

There are many, many types of klystrons.

BBALLBLU RULERBOW






.1mW/cm2 at 1M vacuum of roughly 10–9 torr isolator Klystron amplifiers are normally from 30 to 50 percent efficient.