MASTER INDEX WORK INVIRNMENT AND DEVELOPMENT ELECTRONICS
Entropy

Entropy

Your riches are corrupted, and your garments are moth eaten. Your gold and silver is cankered; and the rust of them shall be a witness against you, and shall eat your flesh as it were fire. Ye have heaped treasure together for the last days. Behold, the hire of the labourers ...
James 5:2-4
Every aspect of our lives is governed by Entropy:
from the energy sources of our tools,
to our personal choices in life,
and to paths taken by our biology.

No other "causative" force is known to man nor science.
And no other equations known to science contain the "direction of time".

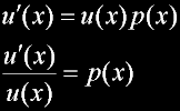
Heat

I should like to start somewhere; thermodynamics was the actual starting point for entropy. So I will start here, with thermodynamics.

And I will start with just one simple equation. It starts simple, but opens a door to the universe.
EqTempObservation.gif, 2 kB

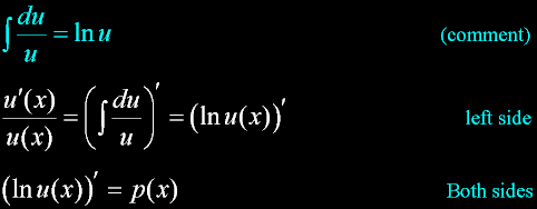
A simple notion from direct observation, and also from intuition:
The change in a quantity is proportional to the quantity itself.

For example in thermodynamics, one observes that the temperature in an open system changes at a rate that is proportional to the difference between the temperature of the object and that of ambient surroundings.
It could be a hot object cooling in a constant environment, or a cool object heating up in a constant environment...
It is an open system because the ambient temperature is kept fresh, and constantly resupplied with a constant temperature base from an external source. In actuality, events in a box are in a closed system, events in a room are in a closed system, events on the planet are in a closed system, events in the galaxy are in a closed system, events in the universe are in a closed system, ... But I will start simple.


FiberGlass.jpg, 22kB
Before I go into the equations, I wish to point out the practicality of the concept. It is just one finished product of many. I am an Engineer, and I keep one foot on the ground.
So here is an example of some practical stuff.
Immediate spinoffs of the equation, with immediate applications.
A is Area. Q is Energy.

Eq-Observation-k.gif, 13 kB
There are some practical units to k, used everyday in insulation work.
Here is the English version...

From the top two equations, we can see what k is.

They involve terms of:
Energy in BTU.
Insulation factor: R
Temperature difference in Fahrenheit.


Q(0) is MH times delta time.
Q(0) is in BTU


This kind of stuff is used everyday, numb to the underlying plight and universal scope.


EqTempObservation.gif, 2 kB EqTemp.gif, 2 kB EqTemp1.gif, 2 kB Eq-Temp1A.gif, 1 kB Eq-Temp2B.gif, 1 kB
Getting back to the equation...
Here is the equation again, in different forms.
As you look it over, it looks quite innocent in a worldly scheme.



Although we can solve this equation directly, I choose to take a detour for a moment, and go for the general and "grand". This will be the same equation.

Eq-Solution.gif, 10 kB
Well ok...
If you are impatient.
Here is a quick solution, specifically to this equation. So that you will have an idea where entropy is headed.

This is just a preview...

Begin by multiplying both sides by e^kx.
...

...

...

Now that you have "cheated" and seen a specific answer,
I must return to the general solution...






EqIntegrateFactor.gif, 4 kB
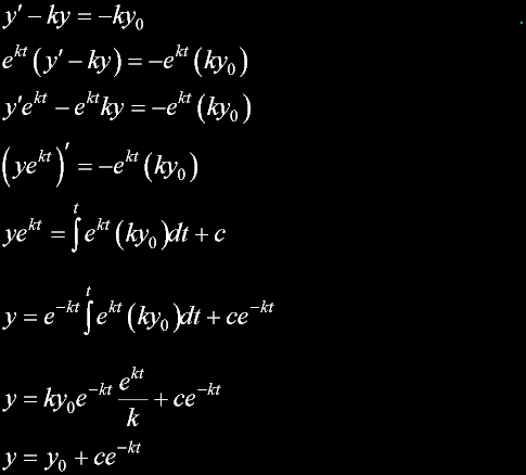
I would rather take "the long way home".
And I would like to look at this first order, linear, differential equation in general. It will later have a bearing on Negative Non Thermal Entropies.


BANAST15.gif, 1.6kB ... I Prepare the Way for you. "See, I am sending an angel ahead of you to guard you along the way and to bring you to the place that I have prepared."
Exodus 23:20
We do NOT have to guess at a solution to find our way!
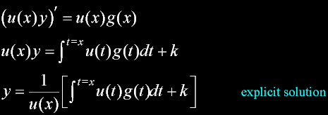
If we choose an integrating factor u, with a special condition, we should be able to solve this grand equation.

We will return to this required special condition later.

Eq-Integrate0.gif, 2 kB
But for now...
Substitute the requirement.


EqIntegrate1.gif, 2 kB EqIntegate2.gif, 2 kB
Explicit deferential on the right.

EqIntegrate3.gif, 5 kB EqIntegrate4.gif, 2 kB EqIntegrate5.gif, 7 kB EqIntegrate6.gif, 1 kB EqIntegrate7Explecit.gif, 2 kB
The simple math is routine and produces an explicit solution. Cancelling common terms both sides, ...pardon the holes.

The hard part may be to do the actual integrations, if even possible at all. We have to do one to get the integration factor, and another to get the final solution. But to derive the methodology is simple.

(I know it is a lot of extra work for a general solution, but I am after a "family" of equations. Besides, a derived equation from all this, will later be so important.)

EqIntegrate8.gif, 5 kB EqIntegrate9Explicit.gif, 5 kB
Now, that we have found the integrating factor...
We are finally ready to take the integrating factor and put it into the special condition.

Turn the equation around.
Take the integral...
at the specific variable t


EqExplicit10blu.gif, 3 kB
Explicit solution

Eqy.gif, 2 kB EqGx.gif, 2 kB EqIntegrateFact.gif, 2 kB
Here are the location of the terms in the general equation that are referenced in the explicit solution.

RULERMAR.GIF, 1 kB
EqTempObservation.gif, 2 kB EqTemp.gif, 2 kB EqTemp1.gif, 2 kB Eq-Temp1A.gif, 1 kB Eq-Temp2B.gif, 1 kB
Now going back to the specific example: equation for heat loss or gain.
I am going to change from "u" nomenclature to a "y" to prevent confusion of term usage.

Spread it apart, and pull out the specific terms from the general first order linear form.

Fortunately we can begin with such a simple concept; All from intuition...


EqTemp2.gif, 3 kB EqExplicit10blu.gif, 3 kB EqTemp3.gif, 2 kB EqTemp4.gif, 2 kB EqTemp5.gif, 2 kB Eq-Temp4A.gif, 2 kB Eq-Temp5A.gif, 1 kB

Eq-Temp5B.gif, 4 kB
EqTemp6.gif, 2 kB Eq-Temp7.gif, 4 kB
Substitute "-k" and integrate to get the specific integrating factor.

Simply substitute this and the remaining parameters derived above,
into the Explicit Solution.

c does not change, so we can find it using any instance of our choosing.
Convenient to choose t=0, the initial start time.


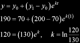
Coffee.jpg, 11 kB EqTempFinal.gif, 4 kB
RULERMAR.GIF, 1 kB EqTempFin2.gif, 3 kB
BBALLBLU.GIF, 0 kB A cup of coffee starts out at 200F degrees.

BBALLBLU.GIF, 0 kB Room temperature is maintained a constant 70F degrees.

BBALLBLU.GIF, 0 kB After one minute the coffee temperature is 190F degrees.

BBALLBLU.GIF, 0 kB How long of time before the temperature is 150F degrees.

The initial conditions provide an equation with t known (t=1), providing a solution of k.

The question asks for a second instance of the equation.
With k known, the second instance poses one unknown: the time.



Lets leave macroscopic and go to microscopic...

It is imperative that heat be understood, and tools for heat be developed, before handling heat entropy. Temperature represents the average kinetic energy of molecules.
BANAST15.gif, 1.6kB But store up for yourselves treasures in heaven...
Matthew 6:20
Energy stores:
Energy goes into dynamic reservoirs of molecules as heat. These reservoirs, or sinks, are degrees of freedom, and are latent or potential energy held by the molecules. Also, as specific states, it is quantized: specific degrees of freedom. Potential energy is stored in these "internal" degrees of freedom, and contributes to energy content, or heat, but not to temperature.
Temperature is expressable as lateral movement (kinetic temperature).
And the amount of storage contributes to Specific Heat Capacity.


RULERMAR.GIF, 1 kB


Canister.GIF, 4 kB
A molecule is bouncing back and forth between two faces.

EqForce.gif, 1 kB
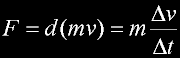
BBALLBLU.GIF, 0 kB Force
The force is a change in momentum.
The force, on one end face A, is a change in momentum.
EqDeltav.gif, 1 kB
The molecule changes from a +v in one direction to -v in the other. That is 2v change.
The time rate at which this is taking place is the total distance divided by speed.
EqForce2.gif, 2 kB

EqPresureFA.gif, 0 kB
BBALLBLU.GIF, 0 kB Pressure

EqPresure.gif, 2 kB
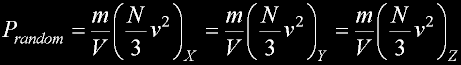
Now lets add N molecules: all traveling parallel to L and impacting face A. (They are like a hoard, a flock, a herd, a school, a well behaved group.) Together, they will have this pressure on the face A.
EqPresure3D.gif, 3 kB
Now let us devide N into 3 groups of molecules, sending 1/3 operating along the X axis, 1/3 operating along the Y axis, and 1/3 operating along the Z axis. Filling all space with equal pressure.
BANAST15.gif, 1 kB We are allowed to do this!
We are allowed to add more disorder, which is called entropy, and establish two more axis of motion, without effecting total energy in any way. Using three cartesian dimensions will fill all space with equal pressure.

EqPVany.gif, 1 kB
EqPV.gif, 1 kB
The rms speed squared establishes the PV product. The PV product is the total energy in three space. We equate the PV product to first a conglomerate group of particles all traveling together in one direction. Then devide up the group and equate the PV product to an ideal gas with particles traveling in all directions.


EqPVnRT.gif, 1 kB
EqPVNkT.gif, 1 kB
BBALLRED.GIF, 0 kB Temperature Kelvin
The PV product was established by empirical measurements in terms of Temperature.
First, expressed in terms of the Gas Constant R, and also expressed with Boltzmann's constant.


EqBoyles.gif, 1 kB
Also when the PV product is equated to a constant, we have Boyle's Law. Which is just another form of conservation of energy. If you increase pressure, volume goes down; Reciprocal action.

PV is an energy. And it qualifies as another degree of freedom: an external amount of mechanical energy with details in pressure and volume.
EqPVPV.gif, 1 kB EqPVPV1.gif, 1 kB
Equate macroscopic temperature to individual particle energy...


EqPVPVE.gif, 2 kB
Multiply both sides by 1/2 to obtain familiar particle energy on the right.

EqEnergyTranslate.gif, 3 kB
This energy is for a monotonic, ideal gas: three degrees of freedom.
Statistical model of billiard balls in three dimensional space.

In actuality there are other energy sinks in molecules: rotation and vibration. And these can be complex in large molecules. But we can use this to our advantage by measuring specific heats and determining the atomic structure of molecules.

MicroStates in a gas ensemble.
Microcanonical ensemble

Lateral.gif, 49 kB Translate x axis
Translate y axis
Translate z axis
Rotate.gif, 32 kB Rotate around x axis
Rotate around y axis
Rotate around z axis
(Diatomic is only two. Monotonic noble gas is zero.)
VibrateLen.gif, 32 kB Vibration:
Bond vibrate H1
Bond vibrate H2
VibrateAngle.gif, 32 kB Vibration:
Bond Angle vibration
(active at room temperature for H2O)

The energy is equally divided amongst the degrees of freedom due to the law of equipartition of energy. Equipartition-of-Energy is another expression of entropy.) In the case of water: 9 degrees of freedom.
In the case of air the Vibrational temperature onset does not occur in great numbers until 3500K N2, and 2300K O2.
EqEtoTemp.gif, 2 kB EqEtoT3.gif, 3 kB EqEnergyBoltz.gif, 2 kB EqVelocityAvMonotonic.gif, 2 kB
Here is the lateral energy for a monoatomic molecule in one degree of freedom...
There are three lateral degrees-of-freedom in "kinetic temperature"...
A constant amount of energy kT/2 is distributed to each degree of freedom.

E is the mean kinetic energy of a molecule in joules (J)
m is the mass of a single molecule. (kg)
Boltzmann k(B) = 1.38065E-23

I will pose a problem: What is the speed of sound?
If we do things correct, we should arrive at the speed of sound: 343 m/s.

But first, how fast are the air molecules moving?
According to Doppler laser studies:
v(prob) most probable = 415 m/s at 300k, 410.1 m/s 293K


EqEtoTemp.gif, 2 kB
There are five active degrees of freedom for diatomic air: 3 translational, 2 rotational, and one vibrational that is not active under 2000k.
GRNL.gif, 3 kB GRNR.gif, 3 kB GRNL.gif, 3 kB GRNR.gif, 3 kB

EqEnergyPackage.gif, 3 kB
We can parse out the energy and look at it carefully. We only want the translational energy which is formed from velocity. Therefore, we only want the translation energy on the left, and the velocity energy on the right.

We will equate those two to each other and obtain the familiar form of rms speed that we have derived above (by two methods). Rotational energy (and many more forms) will be important when I talk about specific heats. But, for now, when looking at velocity, cancel out rotation on both sides of the equation.
F16.jpg, 4 kB EqVref1.gif, 1 kB EqSpeedMovement.gif, 2 kB
EqVAverage.gif, 3 kB EqVrms.gif, 2 kB EqVprobable.gif, 2 kB
I will remove the 3 to the outside, obtaining a convenient factor for subsequent calculations.

Molar mass:
Air is 78% nitrogen, 21% oxygen.
N2 is 28, O2 is 32. Therefore Air is 28.6 Kg/kmole
Actually, counting argon and other gasses: Air=28.97 Kg/kmol
M(a)=28.97 Kg/kmol

Avogadro N(a) = 6.022141E23 mol-1
Air: m = 4.81058E-26 kg
T = 293.15K (68F)

v(av)  = 462.8 m/s
v(rms) = 502.4 m/s
v(prob)= 410.2 m/s (accurate)

Seems air temperature molecular movement speed does not correlate to speed-of-sound...
Even though molecules have many speeds, and there is a broad range of speeds (Boltzmann Distribution),
there is ONE, and only one, specific speed of sound.


BlockCrystal.JPG, 27 kB My crystal ball is not round; It is a cube. When things get confusing I really need it!
There shall not be found among you any one that maketh his son or his daughter to pass through the fire, or that useth divination, or an observer of times, or an enchanter, or a witch.
Deuteronomy 18:10
Arrange all the molecules to be going in the same direction: this is the same energy. Or, to more practical...
Create this scenario before the molecules become random. This would be the normal course of nature: to randomize. Same energy!

It makes no difference on the order, or non order, of molecules. Energy is still conserved.

BBALLBLU.GIF, 0 kB BBALLBLU.GIF, 0 kB BBALLBLU.GIF, 0 kB An appealing arrangement is to devide up the N molecules into 3 parts:
One left-and-right lateral, one up-and-down vertical, and one back-and-forth ...

Where the absolute value of any velocity is the speed. And all N molecules can be assigned the same average (actually rms) speed.


EqEnergy3DOF.gif, 3 kB
The 3 translatory degrees of freedom give rise to kinetic temperature.
No other forms of energy, such as rotational, vibrational, or bonding states are effective in raising the temperature.

EqEnergyAllDOF.gif, 2 kB
For a diatomic air molecule:
Heat goes into 3 translation degrees of freedom.
Heat also goes into 2 degrees of rotation
and 1 in vibration of the bond length (High temp).

Equipartition states: share-the-energy:
Energy of the five degrees of freedom: 3/5 go into translation (temperature)
2/5 go into rotation


EqPresureWave.gif, 8 kB EqAdiabatic.gif, 1 kB EqSpeedSound.gif, 2 kB
So here is the problem...
Adiabatic (no net flow of heat) Pressure Constant.
Sound is work and is a pressure wave. As sound travels through the gas, the gas heats at the front of the wave, but cools at the back. There is no time for heat transference. The wave work energy isometrically travels through. Gamma is the ratio the specific heats: specific heat at constant pressure, to the specific heat of constant volume.
Nitrogen and oxygen, which are diatomic molecules, have five active degrees of freedom at STP. (standard temperature and pressure). And later at higher temp, one vibration mode.
Three translation modes, Two rotation degrees fully excited, but not the vibrational mode.
v speed of sound = 343.20 m/s.
Excellent agreement...
Excellent agreement...

Specif Heat

EqHeatCapc.gif, 1 kB
I do not believe there is any precedent to the notion. There is no "deriving" it. The notion is simply: How much heat do you shove into a sample to raise its temperature a certain amount. For example, it takes 2.98 cal (12.5J) to raise 4 grams of helium (noble gas) one degree kelvin, or degree centigrade. (12.5 J mol-1 k-1)

The specific heat of air C(p) is nearly independent of temperature.
EqDeltaQ.gif, 2 kB EqSpecificHeatMono.gif, 5 kB
But we already knew that...
Because we knew the fact, that helium is a noble gas with only three lateral degrees of movement, we also know the energy withen.

Substituting in the specific heat notion, we arrive at what was measured: 12.5 J mol-1 K-1.
EqSpecificHeatPresure.gif, 3 kB EqSpecificHeat2.gif, 3 kB EqSpecificHeatP.gif, 2 kB
Under constant pressure, we have the same 3 degrees as above, but the volume is left to change and represents an amount of extra (external) work. This external work is a PV product. So the total energy will include one extra degree of freedom from the degrees under constant volume.


Fascinating evidence at the turn of century showed that at lower temperatures (lower energies) rotational energy came in discrete steps: quanta. Not all rotational speeds are possible. And diatomic molecules can not rotate very slowly; Instead, they will not rotate at all. The theory above becomes "grainy".
RULERMAR.GIF, 1 kB

I have shown the macroscopic and the microscopic view of heat to be a wonderful marage; describing the same thing.

Second Law of thermodynamics:

Entropy dictates the flow of heat between two systems.
Entropy is a trend.
Entropy is a measure of a system's tendency towards change in energy distribution.

Entropy is closely related to energy dissipation, and sometimes described as dispersal. Any global (closed system) change is never reversable, and that change always represents an increase in entropy. Entropy represents the amount of useful, capitalizable, profitable, work. This definition depends on the temperature difference, and leads directly to the units of entropy: Energy divided by Temperature, Joule(J) per degree(K), Joule per Kelvin (J K-1).
EqEntropyE.gif, 2 kB
Heat energy involved in a transformation
divided by the absolute temperature.
EqEntropyS.gif, 1 kB
Entropy is denoted by a symbol: S.
Entropy is the amount of energy (or heat) that has moved, or changed state, or position, dispersion, or representation.
In thermodynamics, it is the amount of heat energy involved in a transformation divided by the absolute temperature.

RULERBOW