MASTER INDEX WORK INVIRNMENT AND DEVELOPMENT ELECTRONICS
ELECTROMAGNETIC RADIATION
"EMR"

WAVE1.gif, 22 kB BBALLRED.GIF, 0 kB Y Axis up and down, In red the electrical polarity.

BBALLWHT.GIF, 0 kB Long axis is the Z axis: The direction of travel

BBALLBLU.GIF, 0 kB Magnetic field in blue.
Magnetic plane in brown is drawn in for added clarity.

(Magnetic lines to the left on approaching positive E.)


BBALLPUR.GIF, 0 kB Small rectangular block, with no thickness, in purple.
I will be using this block in all subsequent discussions.

Block has an area;
Block also has a circumference.

EqWAVEpartial.gif, 2 kB EqWaveGenA.gif, 2 kB EqWAVEgeneral.gif, 2 kB
Generic Wave in partials
Which I am not going to use...
There is another way. A very easy way...

Generic Wave solution
Simple classical wave
A Plane Wave: A Transverse Wave in two dimensions (in this case y and z).
The displacement A is in the y direction.
And the wave is traveling in the z direction.

EqWAVE-Generics.gif, 5 kB
Emediatly obvious from the (above) general equation:
Such as Lambda wavelength is 2pi/k; recognised by visual inspection.
These little things are intuitive.

EqWSTRING.gif, 1 kB
Other systems for comparisons...
Length and mass and tension
But we will not digress from our objective electric and magnetic wave.

EqWAVE-E.gif, 2 kB
Electric Wave.
E0 is the max value
xbar indicates value only in the x direction.
w is the frequency


EqWAVE-B.gif, 2 kB
Magnetic Wave.
BO is the max value
Only in the y direction

EqWAVE-E.gif, 2 kB EqWAVE-B.gif, 2 kB
Two Parametric equations in wt. The Magnetic and Electric waves are locked in phase.
And are dynamically linked together.
Same wavelength, same velocity.
Two equations in two unknowns E and B.

EqMAXdisplace.gif, 3 kB EqDisplacement.gif, 2 kB
Maxwell added the displacement current to amperes law;
critical for the understanding of radiation,
As there is no "physical" current in space. K is the magnetic permutability and k is the electric dielectric, and
K (kapa) is one in a vacuum as well as the dielectric constant as one.
Therefore, of the two currents depicted here, we will only deal the the displacement current.

Maxwells addition to Amperes Law: Displacement Current...
A changing electric field produces a magnetic field.


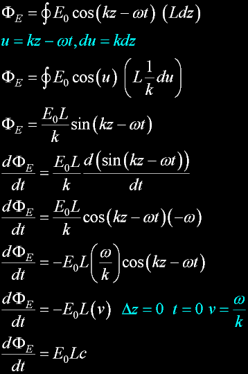
EqEFlux0.gif, 1 kB EqEFluxDER.gif, 14 kB
Working on the right side...
Total Electric Flux: E and dA are in the same direction.
Area is L(dz)

Substitute E derived from the general E-wave wave expression...
xroof is 1 as E and dA are in the same direction from setup.
Form a rectangular loop around E with an area, in the yz plane, of zL.


EqEFlux0.gif, 1 kB EqMEATHOD2.gif, 4 kB
Method two...
Instead of keeping the rectangular area at rest and measuring the changing E as the wave moves from left to right, keep E0 motionless, and move the rectangular area in the direction of -z (right to left).

There is an additional bonus to this method:
The Amplitude E0 can never change with ANY type of radiation. The energy of a discrete wave - instead - is proportional to the frequency, and has NOTHING to do with the amplitude. This is somewhat unique for classical transverse waves in general: A wave with only one amplitude. A media containing only one amplitude implies one tensile strength and one - and only one - wave speed.

EqDisplacement.gif, 2 kB
EqBlux0.gif, 1 kB
Now for just the left side of the displacement equation: B(dl)...
Amperes law depicts current(s) penetrating a loop of segments dl.
In this case, as above, rectangular loop of length 2dz and 2L.
It does not matter how small dz, only L can contribute to a current. The closed loop is really an open loop in this case, and the two Ls are really one. And if they were a wire there would be an electric field and a voltage equal to EL.

EqDisplace1.gif, 2 kB
EqBFlux1.gif, 3 kB
Now for both sides...
For now call E the "displacement-E".


RULERYEL.GIF, 4 kB Now for the magnetic wave expression...
The changing magnetic field creates an electric field through Faradays law.


EqFaradayALL.gif, 4 kB
The dimensions of the rectangular box (of E above) are not needed here.
Simply, the B flux is changing by Bdz



Eq7.gif, 3 kB
Eqc.gif, 1 kB
By substituting Faradays E into the displacement current E is to say that both expressions are moving together and are one in the same. And it does not mater if we move the area into the E and B or the E and B move into the area.
But movement must be defined as dz/dt.
And the movement must be defined as orthagonal to both E and B;
In other words: a traveling wave!
What a stunning achievement for Maxwell!


EqcBLUE.gif, 1 kB
BANAST15.gif, 1 kB Maxwell did this.

RULERYEL.GIF, 4 kB


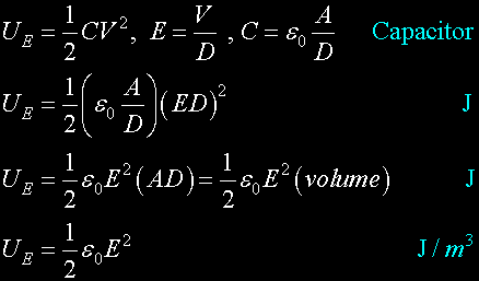
Eq-Capacitor.gif, 6.8kB
Here is the energy of a capacitor.
Picture the purple box with top lid and bottom area forming the plates of this capacitor.
The top and bottom areas A are at an E differential forming a voltage V.
The plates are seperated by the hight D.


One can easily see the Energy U in terms of E per volume.


Eq-PoyntB.gif, 6.0kB
Likewise, here is the Energy ,
in terms of B.
Jouls per cubic meter.


But this can be manipulated with the identities to yeald the exact same expression as the energy in terms of E.


The total energy is the sum of the magnetic energy and the electric.
The two are necessarily exactly equal in a radiating wave.


Eq-PoyntSurf.gif, 6.1kB
Energy in a box does not reflect the traveling nature of light. I don't think energy in a volume has much use. Unless it is standing waves in a box. In any case, it is easy to go to energy flowing through a surface. Now that is usefull!


PoyntS.gif, 5.5kB
The Poynting Vector:
Here is the energy in several equivalent forms
in terms of E, B, OR E and B.


Actually, this is the instantaneous power at peak.
Eq-PoyntAve.gif, 14kB
The two energies are changing like this...
In phase...
The E field reaches a max at the same time as the magnetic field: in phase.

To get the average, I am going to integrate to the quarter cycle and multiply by four.
I am going to divide by the total wave length to get the average.

The average of sine squared is 1/2.



My RV, Capturing energy M80Picture.jpg, 30kB The sun has a value of about 1000 watts per square meter.
And I am going to get as much of it as I can...

The white marking paper is where I had questionable solder tabs. And after seeing the pictures, the manufacturer agreed.

RULERBOW