MASTER INDEX WORK INVIRNMENT AND DEVELOPMENT ELECTRONICS
Shape of fields


MoveCharge.GIF, 27 kB
Magnetic field headed out of page at top, in blue, toward observer.
I wrote a program and generated this graphic of the magnetic field from moving charge;
according to equation featuring inverse square and sin, with arbitrary horizontal speed.

A charge traveling horizontally,
Colored in false-color representing a dimension of B intensity.
Picture a knife slicing down through a doughnut that is standing up, edge-on toward the observer.

(As far as color goes, it looks like I totally stop graphing in one color (red) before picking up the next (green). Oh well... it still shows the geometry (dramatically.
I think it is a type of toroid (in three dimensions).)
MOVECHARGERED.JPG, 3 kB
A charge traveling horizontally.
Magnetic Intensity plot.
I wrote this program to conceptualize a current element.

MOVECHARGE.GIF, 144 kB
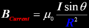
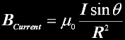
EqnBCUR1.GIF, 1 kB
A point-charge (in a small section of wire);
changing horizontally at 1 coulomb per sec.
The wire has a radius of near zero meters.


EqnBCUR2.GIF, 1 kB
Graduations are in tenths of a meter from the point-charge(s) .1m
Red circle is a magnetic field strength of2*u Tesla = 2.513E-6 T.

If electric charges are moving to the right, and/or holes moving to the left, then
magnetic field lines circle and approach toward observer in the bottom section (y less than 0) and reseed in the top section (away from observer).

EqnSUMe.gif, 1 kB
I have shown there is an equivalence between q/sec - in a wire - of volume, and drift speed - of isolated particles.
RULERMAR.GIF, 1 kB
TORUS1.GIF, 31 kB
Mathematically, there exists a similar structure:
It is called a Toroid.
First I must write a program to look at objects in three dimensions. My program seems to graph appropriately in three dimensions...

EqnTOROID.GIF, 2 kB
Generic toroid
The program has graphed a toroid which has a small radius r (in the xy-plane) of half the larger radius R (in the zy-plane, about the x axis). I told the program to cut the toroid in a similar manner as the displayed electron field, in the above graphs, which is in only two dimensions.


RULERMAR.GIF, 1 kB
EqnBCUR1.GIF, 1 kB
Electron magnetic field
Wire is left-right, (horizontal).
Radius, and Y, is up-down, (vertical). Radius, and Z, is in-out.


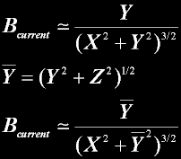
EqnLONG.gif, 4 kB
Converting Radius to XY components, substituting sin, and dropping the constant.
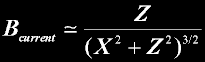
EqnLONGZ.GIF, 1 kB
Due to symmetry, we may also conclude that the field has the same parametric here, Z-plane.
MOVELECTRON.GIF, 18 kB Magnetic field of infinitesimal current
Computer graph of magnetic field of infinitesimal current in a wire.
This is also a graph of a moving free charge which is mathematically the same, as I have shown.

The computer graph shows a toric type structure that resembles an over inflated tire.
The structure is not a torus, although somewhat like a "pincushion toroid".

For a better view in three dimensions, I will rotate the image...
EqnROTATEY.gif, 4 kB
The graph will be rotated by this matrix operator

EqnROTATEX.gif, 4 kB
And another rotation of 20 degrees. By this...

EqnYBAR.gif, 4 kB
Combining the two (two-dimensional) parametric equations to obtain a three dimensional equation...
By making Y-BAR substitution this equation is easily solved by computer iteration. Quite fortuitous, because the iterations are used for graphing anyway. The convenience - for my computer-grapher - is that three dimensions be contained in one equation.

MOVELECT1.GIF, 37 kB Magnetic field of infinitesimal current
I am using three colors for an additional three dimensions:
Red intensity along the x-axis
Green intensity along the y-axis
Blue intensity along the z-axis
Each color has a value from 0 to 255 units.
I do not need to worry about luminance formulas to achieve pleasant graduations and transitions. Also, three color parameters corresponds well to the three axis cartesian coordinate system.
As long as I do not need the three extra dimensions (color), I will use them for "lighting".
On a previous page, I have shown the equivalence of a free moving charge, and that of infinitesimal current; Now I have given a visual as well.
ELECT1.GIF, 31 kB Magnetic field
Magnetic field of infinitesimal current
MoveCharge.GIF, 27 kB Magnetic field headed out of page at top, in blue, toward observer.

RULERBOW