MASTER INDEX WORK INVIRNMENT AND DEVELOPMENT ELECTRONICS
InductionLogo.GIF, 4 kB Electro-Magnetic Fields

MagFlux9.gif, 17 kB EqMagFluxBlu.gif, 2 kB
BBALLBLU.GIF, 0 kB Webers
Total magnetic flux on a open surface
A is the surface that B is penetrating.
In this case, the quantity of flux is measured in the form of a surface of a circular disk.
Ring400.GIF, 24 kB
BBALLBLU.GIF, 0 kB Webers
The surface does not have to be a regular shape. Here is a irregular shape bounded by moveable green charges - like in a wire. In this case the wire is encompassing a Flux.
RULERMAR.GIF, 1 kB

First, a steady electrical current is producing a magnetic field B.
Next the current begins to increase even further.
MaglFLUX1.gif, 47 kB MAGLOOP1.JPG, 19 kB

Steady state to Changing...

EqMagFluxYel.gif, 2 kB
EqMagFlux.gif, 2 kB EqMagFluxBlu.gif, 2 kB
BBALLBLU.GIF, 0 kB Magnetic Flux
Gauss
Phi, magnetic flux, is a scaler.
Magnetic field lines through a surface...
Total Local magnetic flux on any open surface
A is the surface that B is penetrating.

In the diagram above, the outer current is generating the magnetic field. It is the source, not the effect, as with the smaller inner circle.
VolteqLogo50.gif, 1 kB MagFluxEqLogo.gif, 1 kB
EqMaxwell-3.gif, 2 kB
EqWireLoop.gif, 1 kB
EqElectINDUCT.gif, 1 kB
Changing Magnetic Flux
Faraday: Changing magnetic flux per time

InductLogo.GIF, 3 kB A changing magnetic field produces an electric field and voltage. VolteqLogo50.gif, 1 kB

If the yellow loop is a wire, then this will yield to the changing magnetic field and produce a voltage and current around the wire. And the current will be opposite (oppose) the causative field (Lense law).
The direction of current will be OPPOSITE of the generating current.
A change in flux of one weber per second will induce an electromotive force of one volt in one meter of wire.
The voltage, or EMF, or Electromotive Force, (E times Distance L), of the closed wire loop will be this...

Induction5.GIF, 34 kB And the "loop" can be of any shape. And there are many configurations. Here is a magnetically open loop.
Industrial applications are magnetically closed loops. One set of windings produces the changing Flux, another set responds with voltage.

The equation does not talk about two loops. Two loops is how we put the equation to work: The change of flux affects a second loop. However, either set of loops depicts the epidemy of the equation. The iconic depiction of one set of loops would not do justice to our commercial world.
EqFaradayMaxwell.gif, 2 kB EqFaraday.gif, 2 kB
InductLogo.GIF, 3 kB BBALLRED.GIF, 0 kB Faraday Law

Maxwells third equation
This one equation is probably the most important industrial application of Maxwells equations. It describes transformers, motors, and generators. L is the length of the "loop".
A is the area withen the loop.


Faraday voltage
The B can be changing, or the Area can be changing, or both.
I will give some examples...

(The equation shows the loop voltage: if the loop is broken, the voltage will be maximum and the current zero. Not shown in the equation is the coil resistance.
In practical applications, there are thousands of continuous loops with only one broken, termed as the "input" or "output".)


EqMaxwell-3.gif, 2 kB
EqFARADAYB.gif, 2 kB
CHANGEMAGfield.gif, 191 kB
BBALLBLU.GIF, 0 kB Changing B:
Here is an example of the magnetic field changing, with the area of the loop remaining constant.
Sympathetic loop responds to the generating field and shows an induced (positive) current.
The loop will levitate up if not held down. It takes force to hold down the loop, regardless of the magnetic direction. An induced electric field is produced, and consequently a voltage, and consequently a current and consequently heat is produced in the loop.

The induced current always opposes the inducing magnetic field. I have arbitrarily chosen the magnetic generator to be sinusoidal.




EqMaxwell-3.gif, 2 kB
EqFaradayROT.gif, 2 kB EqMOTOR.gif, 6 kB ROTATEANAM.gif, 330 kB
BBALLBLU.GIF, 0 kB Changing Area:
Here is an example of the effective-area changing.

It is an example of a motor or generator where the effective area is changing. This was a favorite of a young man named Tesla.

BBALLBLU.GIF, 0 kB Generator:
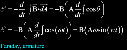
External effort is exerted in turning the loop, and heat energy is expended in the loop. The induced current flow apposes this motion with a counter magnetic field. The induced current, at the top of the loop, moves away from the observer. Therefore the device is a Generator.

BBALLBLU.GIF, 0 kB Motor:
This would be a motor if the current as depicted was instead a source and was input into the system as power. Now the resulting loop motion would be a result - a response - and loop motion would be in the opposite direction as depicted. Instead of turning CCW the loop would be turning CW.

At the top and bottom, the area (dx L) is perpendicular to the magnetic field and is at a maximum. When the loop is horizontal there is no change in the dot product of magnetic field and area. Or, in other words, a surface area - that is perpendicular to the magnetic field vector - has no changing magnetic field withen.




Here are two different ways to calculate the voltage produced by a rectangular wire loop in a magnetic field.


GENERATOR.GIF, 14 kB
Consider a generator with a radius, and an L, and a rotational w. Let me set up the parameters: Rotation speed is twenty rev/sec, or w=126 rad/sec
Radius is 4cm
L is length of horizontal "driven element" = 10cm
B is a half Tesla.
Voltage is measured on the horizontal arms.




EqForceQVB.gif, 3 kB EqWRONG.gif, 4 kB
qvBLogo.GIF, 2 kB One approach is to derive force inline to L, or to apply qvB to L. The implication is that L is "cutting across" magnetic field lines. This approach gives the correct result. Force, energy and voltage are all related. This scenario only considers the length of L and its speed.



EqMaxwell-3.gif, 2 kB
EqMotorMaxwell.gif, 12 kB
InductLogo.GIF, 3 kB Yet another way, a the profound way, is derived above: Maxwells third equation.

The idea is a changing B flux in a defined area. The beauty of this is that you do not have to rotate a simple rectangle. For example, you can rotate a semicircle; or triangle; or just about anything. Another beauty: you go directly to voltage in one step.

MagCoilMoveAnam30.gif, 552 kB
EqElectINDUCT.gif, 1 kB
Depicted is a magnet. It may be a permanent or electromagnet and is depicted as both. It generates a constant north pole field depicted in blue on the right hand side. A coil is positioned in front of the magnet. A force is applied to either separate the magnet and coil, or to bring together the magnet and coil. Current will flow in the coil if either force is applied. Current stops when the force is removed. The red arrows are EXTERNAL force. The current generated will oppose the force.


RULERYEL.GIF, 4 kB
EqMAXWELLSequations.gif, 9 kB InductionLogo.GIF, 4 kB Maxwell4Logo.GIF, 4 kB
RULERYEL.GIF, 4 kB BBALLBLU.GIF, 0 kB Inductance

EqINDUCTANCE.gif, 2 kB EqL.gif, 1 kB
A shorthand notation to keep track of all the turns is Inductance. This includes number of turns, area, relative permittivity, and flux leakage.

In this definition the current is static.


InductionSelfMag.gif, 292 kB
An illustration of self inductance.
A loop of wire is driven by an undisclosed power source.

In the graphic, the current starts out as static, from two units of current, rotating CCW, as two green balls, producing a north pole toward the observer. It must be apreciated that the magnetic field is being produced from a static current.
BBALLBLU.GIF, 0 kB And further, that the current is producing the magnetic field.

Now we turn to a non static current:
The current begins to increase in the same direction, CCW, illustrated by two sets of three green balls, and produces a growing magnetic field, as illustrated by the size of the blue crystal. An induced, counter electromotive force , CW rotation, in two RED balls, shows a resistance to the original current. Depending on the amount of inductance, the originating current is slowed, and resisted.
The same piece of wire loop that is producing the increase in magnetic field, is also sensing the changing field. The field is increasing with a North pole, which means the red balls will rotate CW in response. The loop, in this role, does not care what is causing the changing magnetic field. The loop will produce a voltage in accordance to the change, quite separate from the details of how the magnetic field came to be.
BBALLBLU.GIF, 0 kB In this role the changing magnetic field flux is producing the current.

The current and the magnetic field continue grow, untill the input current, three green balls, begins to level off at a constant current. Now there is no counter voltage, and the two red balls stop rotating CW. In fact, they disappear for a moment as a strong magnetic field remains steady.

Then the originating current and magnetic field begin to decrease. Now the two red balls reappear and begin to rotate CCW - the same direction as the originating current. This action aids the original current. (Extremly high counter voltages can be produced by switching off any magnetic field too quickly.)

Two semingly unrelated events, make it possible to measure inductance by either static or dynamic methods. The magnetic field stores the energy in either case: A current produces a magnetic field, and a changing magnetic field produces current.


EqLvWeb.gif, 2 kB EqINDUCTANCE0.gif, 2 kB
Modern electron meters can measure voltage and change of current easily...

1 henry produces an EMF of 1 volt
when the current through the inductor changes at the rate of 1 ampere per second.

(This definition is the same as above: just take the derivative of both sides to dt.)


EqLV.gif, 4 kB
Here I will go ahead and show it...

EqFaradayINDUCT.gif, 2 kB EqINDUCTANCE1.gif, 2 kB

EqLenergy.gif, 6 kB
Take a look at the energy...

The equation for the energy in an inductor coil.


RULERBOW