MASTER INDEX WORK INVIRNMENT AND DEVELOPMENT ELECTRONICS
Conservation
Relationships

I don't know what to call this section...
After waves have "condensed-out" "particles" from fields, "Particles" have real identity as discrete units, and they have relationships; one to another.
I should dedicate a page or two to Conservation of Momentum and Conservation of Energy. But perhaps I should not call it that.

Mass and Velocity are magically related - actually kind of the same thing - and their product is called momentum. Concepts of Force and Energy are derived from it. The integrity of such concepts hinge on time, and have a total disregard for any positional reference.

I, being a human, also have a specific identity in more ways than one: There is the physical identity and also the conscious identity. Both - automatically - create a reference system. It is second nature to have a reference system for all the stuff around us. We can go to great precision with instruments to know exactly where something is. For millions of years that reference system not only dictated how we physically move, but also how we mentally model abstract concepts. Physics does not have the slightest regard, nor operate, in any of my biologically-born reference systems. Our spacial concepts were necessary for our ancestors to survive.


RULERMAR.GIF, 1 kB



Momentum


EqMomentumIconic.gif, 1 kB
Momentum in one dimension...


EqMomentumP.gif, 2 kB EqMomentumtwoElastic.gif, 3 kB EqMomentumTwoInelast.gif, 3 kB
Momentum in three dimensions (cartesian space)
Or momentum in four-space.

Momentum is ALWAYS conserved.


A collision can be perfectly elastic or perfectly inelastic, or anything in between. In all cases momentum is conserved.

An inelastic collision, for example, is when an ice skater catches a bowling ball and holds it in her arms. The two masses are stuck together resulting in a single velocity.

A partially elastic collision is when a bullet hits an object, is deformed, produces heat, does other work, and ricochets. There are energy issues, but momentum is conserved.


RULERYEL.GIF, 4 kB

Force


EqMomentumIconic.gif, 1 kB EqForce.gif, 2 kB
Newton's first, second, and third law...
Force is the rate of change of inertia.
Momentum is conserved, therefor it's derivative, instantaneous force, is conserved too.
Force is not as fundamentally derived as momentum. Momentum is more fundamental. Force may be exemplified by electromagnetic force, gravitational force; and mechanical forces such as thrust, pressure, drag, torque, stress, etc.


EqForce2.gif, 3 kB
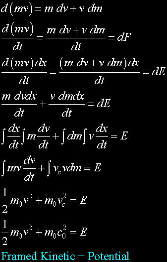
The complete derivative is important...
For example, here is a rocket ejecting spent fuel as mass.





RULERYEL.GIF, 4 kB

Energy


EqMomentumIconic.gif, 1 kB EqEnergy.gif, 4 kB
EqEnergyBoth.gif, 3 kB
EqEnergyTotal.gif, 2 kB

EqEMC2.gif, 9.2kB
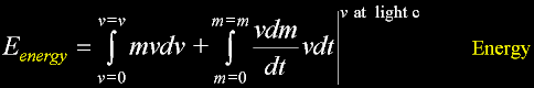
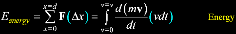
Energy is Force times it's application distance.
Or in terms of Momentum...



The term on the left is conventional Newtonian energy. It is kinetic energy. The mass is a tag-along constant. The motion is relativistic motion or frame motion.


"Coalesced energy" on the right shows no signs of motion, as viewed from the outside. It is potential energy. It is also known as "mass" energy. Here, in this term, the terminology blurs between mass and energy, they are the same thing. Also known as Rest Energy.

The right term is a throw back to the concept of momentum, where there is no distinguished difference between mass and speed. They share equal representations.
EqEnergyAll.gif, 3 kB EqEnergyMotion.gif, 3 kB EqEnergy2.gif, 5 kB EqEnergy2b.gif, 3 kB
Total Energy is ALWAYS conserved.



However, for elastic collisions we have conservation of Kinetic Energy. The energy contained in Linear motion is conserved.
Elastic collisions conserve kinetic energy. In such cases there is no missing heat or radiation energy.


Now, if the energy DOES go into other forms...
Energy of a system with many degrees of freedom is equally split among all available degrees of freedom. And in the case of a mass and spring, this may be of only two: Kinetic and Potential.

Here are other expressions of Energy where momentum is still there.
EqE-EinsPlanck.gif, 3 kB EqE-FD.gif, 4 kB EqE-mass.gif, 3 kB

And others where momentum is microscopic...
EqE-Botlz.gif, 2 kB
Ideal gas of one degree of freedom.
Individual atoms have an average kinetic energy.
RULERMAR.GIF, 1.6kB Momentum has another "form": Where there is no separate "mass" or "velocity". Nor any "distance" or "time". The very notion of Momentum comes from a larger notion: that of the WaveFunction. I can think of an analogy. The WaveFunction is like an Estate. As a real estate agent, in analogy, you can be an "Operator", and can see and specify flower beds, ponds, and trees; all from the Estate. Likewise, an operator can be applied to the WaveFunction to obtain Momentum.

According to the Uncertainty Principle, there is a small world, or big world in case Black Holes, where nothing has "materialized" or is determined. Where there is no time, all states coexists. There is no past, no present, and no future, as far as time is concerned. There is no locality nor any multiple identities. There may be an identify, however. In this case "momentum". But do not put to much weight on it, it is only a term contrived in a brain. If you manage to "pull out" a mass, as in observing or measuring a mass, then all other masses and velocities are instantly and specifically known.

In computer code writing, you have created an Instance. In code writing you know beforehand exactly what kind of child this instance will bring. Not so in physics! There will be a range of possible values. Before there was time, all states have no form, but never the less, they all truly exist. Where there is no time, there is no distance, and no limitations of distance. In superconductivity, there is no resistance at all. Something unimaginable! So it is in the world of the sublime: there is no distance at all. Something unimaginable! If I force an instantiation at a certain locality, the locality means nothing. And even more amazing... If I have an instantiation here, then there may be an intangled instantiation some place else. The locality is "defined" by a physical brain, and has no application. Yardsticks do not exist in this world.
I have said before that Momentum has no presidence. That is only true in the world of apes gracefully swinging in trees, and advanced bipedal animals skillfully wielding pool cues and playing billiard balls. The predecessor of Momentum exists in a "Super Reality" world, elegantly clothed in tapestries that we can not hear or see in a familiar biological sense.


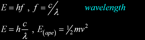
eq-hf.gif, 2.8kB
Einstein pioneered the photo electric effect, and Plank measured the energy of colors of light. Light exists in this other world; And a A photon, in this other wave world, can eject an electron, in the ape world, with a measurable energy.
eq-mom-lamda.gif, 4.4kB
Every Newtonian object in the ape world, has a wavelength, and therefor still bears characteristics of the Super Reality World.


eq-mom-lamdaR.gif, 2.2kB
Mass and velocity and time and distance have dissolved. This is the authentic world, and not just the world that fits our needs. We as observers add a "time" and a "place" and instantiate an event. We create an event! And we ascribe definite properties to this event. Although they are derived human properties.

In a way, we are apes; and therefor in a way, we create our own specific lives of tragedies, and joys.

Also, I might add a personal opinion: Science, in the ape world, suffers from indifference, at least in the eyes of the ordinary man. Here, Nature does not care what happens. In silence, the stars twinkle and the river flows; With no narration. And without so much of even a sigh, life and death are presented in an equation with no drama. Biological life and death, to the ordinary mortal, are represented by a cold and stern afterthought; only held for a non descript moment.

But it is my opinion that it is only true in this Esoteric World; not so in the general Super Reality World of the non descript. It is wonderful world:
It is love and joy; and peace and harmony. There is permanence and no entropy. So strange, and counter intuitive, that these vibrant emotions give rise to the indifference observed in the scientific world. Equations can NOT go here, or at least have no "meaning" here. This Superb Reality does indeed manage to shine through, in different degrees, in a certain class of humans: the scientist, the mathematician, and the dreamer. There are hints of it, and there is true life here. There is no life in the human world. At least for a moment, self interest is vanished, and the underlining beauty of a spiritual world emerges. In the quantum world equations only describe material things, or concepts that have a history, which are formed after their conception, and are exclusively an invention of an observer. The temporal world is artificial, and ONLY an invention. And also, I might add, by contrivance of an observers logic, or mathematics of an observer, have a future. This is the familiar Past and Future that we feel and know so well. There is NECESSARILY no past or future in this bigger, more intrinsic, world.

RULERMAR.GIF, 1 kB
RULERBOW